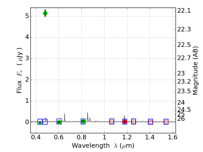
PLCKG287+32 ACS+IR detection object #1982

Color images and BPZ results
Catalog: 1982.cat
Black segments are analyzed here.   Roll mouse over color images to view segments.
Best viewed in a wide browser window (1200 pixels or more).   Download SED & P(z) plots to view larger versions.
In P(z) plots: Yellow lines mark the cluster redshift z = 0.390,  

Object #1982   x,y = (4005, 3675)   RA, Dec = (11:50:44.568, -28:03:55.08) = (177.68570, -28.06530)   BPZ = 0.303 [0.155--3.839]   type = 10.20 (SB3_B10 - SB11_A_0_l)   stellarity = 0.95   chisq2 = 571.34   ODDS = 0.04   z_cluster = 0.390