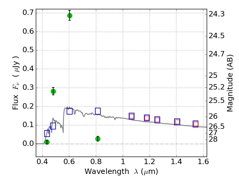
PLCKG287+32 ACS+IR detection object #1915

Color images and BPZ results
Catalog: 1915.cat
Black segments are analyzed here.   Roll mouse over color images to view segments.
Best viewed in a wide browser window (1200 pixels or more).   Download SED & P(z) plots to view larger versions.
In P(z) plots: Yellow lines mark the cluster redshift z = 0.390,  

Object #1915   x,y = (3933, 3791)   RA, Dec = (11:50:44.880, -28:03:47.88) = (177.68700, -28.06330)   BPZ = 3.579 [3.387--3.641]   type = 11.00 (SB11_A_0_l)   stellarity = 0.96   chisq2 = 473.78   ODDS = 0.97   z_cluster = 0.390