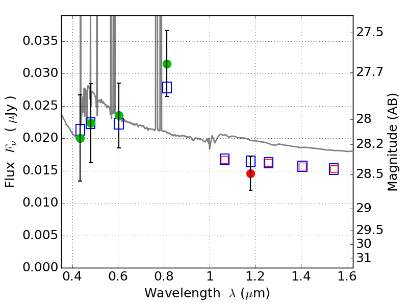
PLCKG287+32 ACS+IR detection object #1564

Color images and BPZ results
Catalog: 1564.cat
Black segments are analyzed here.   Roll mouse over color images to view segments.
Best viewed in a wide browser window (1200 pixels or more).   Download SED & P(z) plots to view larger versions.
In P(z) plots: Yellow lines mark the cluster redshift z = 0.390,  

Object #1564   x,y = (2710, 3987)   RA, Dec = (11:50:50.424, -28:03:36.36) = (177.71010, -28.06010)   BPZ = 0.170 [0.083--3.265]   type = 11.00 (SB11_A_0_l)   stellarity = 0.55   chisq2 = 0.45   ODDS = 0.23   z_cluster = 0.390