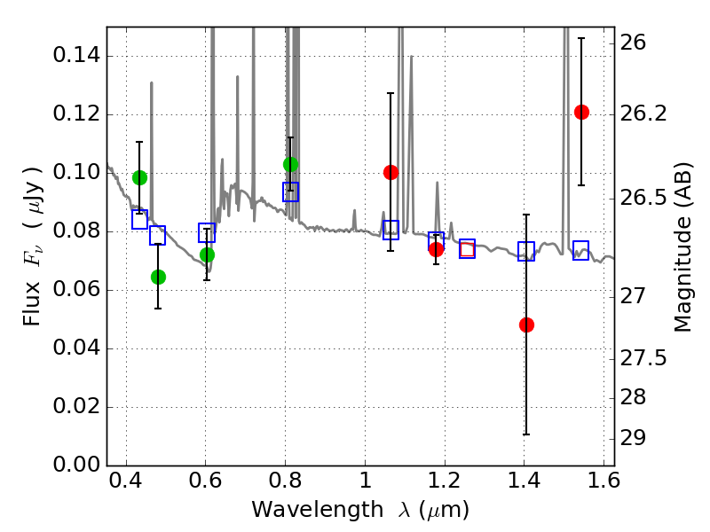
PLCKG287+32 ACS+IR detection object #1334

Color images and BPZ results
Catalog: 1334.cat
Black segments are analyzed here.   Roll mouse over color images to view segments.
Best viewed in a wide browser window (1200 pixels or more).   Download SED & P(z) plots to view larger versions.
In P(z) plots: Yellow lines mark the cluster redshift z = 0.390,  

Object #1334   x,y = (3147, 4096)   RA, Dec = (11:50:48.456, -28:03:29.52) = (177.70190, -28.05820)   BPZ = 0.660 [0.189--2.241]   type = 10.70 (SB11_A_0_l - SB3_B10)   stellarity = 0.87   chisq2 = 1.58   ODDS = 0.43   z_cluster = 0.390