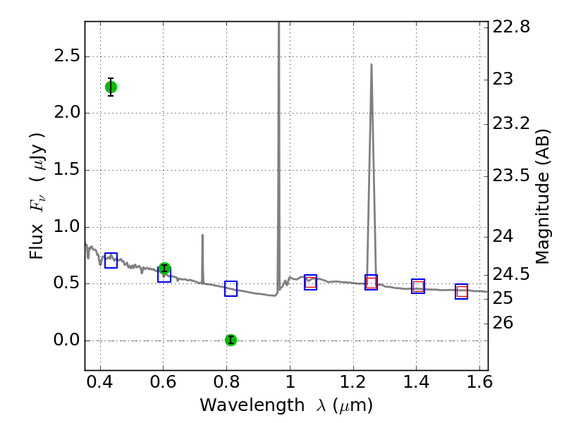
PLCKG209+10 ACS+IR detection object #1190

Color images and BPZ results
Catalog: 1190.cat
Black segments are analyzed here.   Roll mouse over color images to view segments.
Best viewed in a wide browser window (1200 pixels or more).   Download SED & P(z) plots to view larger versions.
In P(z) plots: Yellow lines mark the cluster redshift z = 0.677,  

Object #1190   x,y = (4147, 3470)   RA, Dec = (07:22:16.560, 07:25:30.36) = (110.56900, 7.42510)   BPZ = 1.593 [1.563--1.825]   type = 11.00 (SB11_A_0_l)   stellarity = 1.00   chisq2 = 341.85   ODDS = 0.91   z_cluster = 0.677