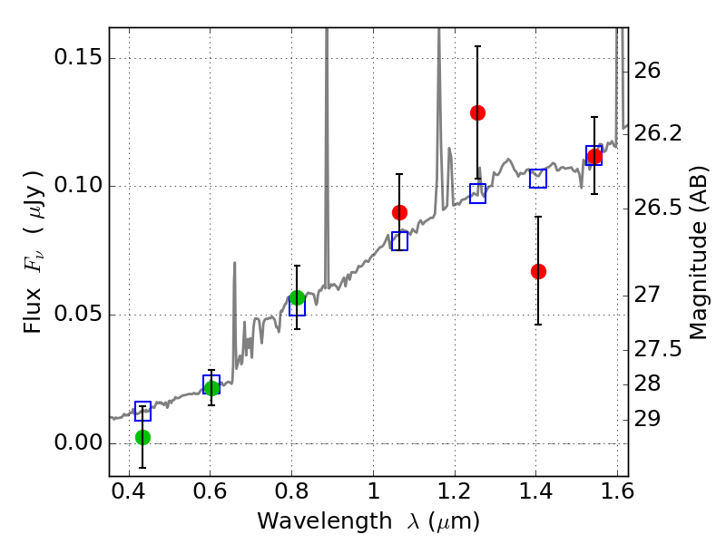
PLCKG209+10 IR detection object #968

Color images and BPZ results
Catalog: 968.cat
Black segments are analyzed here.   Roll mouse over color images to view segments.
Best viewed in a wide browser window (1200 pixels or more).   Download SED & P(z) plots to view larger versions.
In P(z) plots: Yellow lines mark the cluster redshift z = 0.677,  

Object #968   x,y = (2286, 2052)   RA, Dec = (07:22:24.072, 07:24:05.04) = (110.60030, 7.40140)   BPZ = 0.775 [0.282--4.946]   type = 7.20 (Scd_B10 - SB1_B10)   stellarity = 0.24   chisq2 = 1.24   ODDS = 0.21   z_cluster = 0.677