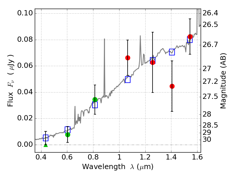
PLCKG209+10 IR detection object #896

Color images and BPZ results
Catalog: 896.cat
Black segments are analyzed here.   Roll mouse over color images to view segments.
Best viewed in a wide browser window (1200 pixels or more).   Download SED & P(z) plots to view larger versions.
In P(z) plots: Yellow lines mark the cluster redshift z = 0.677,  

Object #896   x,y = (3605, 2194)   RA, Dec = (07:22:18.744, 07:24:13.68) = (110.57810, 7.40380)   BPZ = 0.772 [0.408--5.839]   type = 6.60 (Scd_B10 - Sbc_B10)   stellarity = 0.00   chisq2 = 0.88   ODDS = 0.13   z_cluster = 0.677