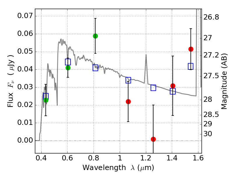
PLCKG209+10 IR detection object #851

Color images and BPZ results
Catalog: 851.cat
Black segments are analyzed here.   Roll mouse over color images to view segments.
Best viewed in a wide browser window (1200 pixels or more).   Download SED & P(z) plots to view larger versions.
In P(z) plots: Yellow lines mark the cluster redshift z = 0.677,  

Object #851   x,y = (3446, 2234)   RA, Dec = (07:22:19.392, 07:24:15.84) = (110.58080, 7.40440)   BPZ = 3.302 [0.138--3.644]   type = 11.00 (SB11_A_0_l)   stellarity = 0.00   chisq2 = 1.83   ODDS = 0.30   z_cluster = 0.677