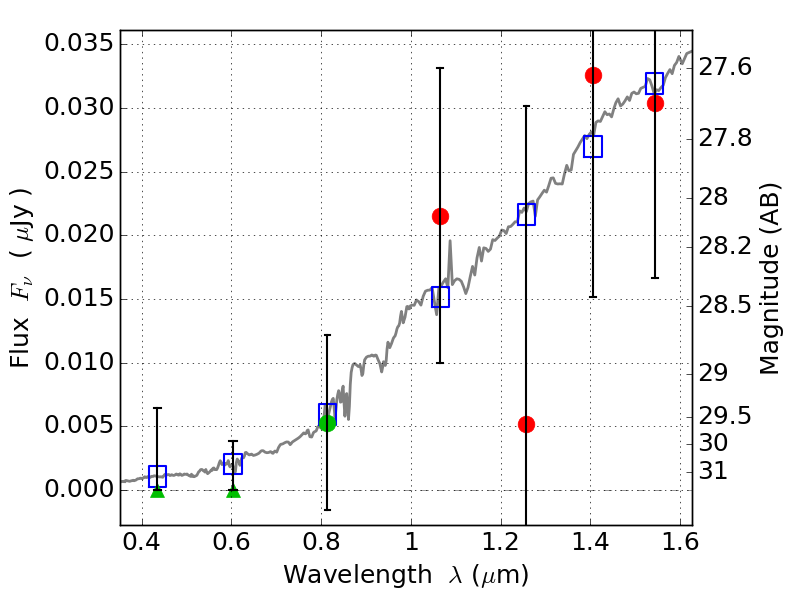
PLCKG209+10 IR detection object #329

Color images and BPZ results
Catalog: 329.cat
Black segments are analyzed here.   Roll mouse over color images to view segments.
Best viewed in a wide browser window (1200 pixels or more).   Download SED & P(z) plots to view larger versions.
In P(z) plots: Yellow lines mark the cluster redshift z = 0.677,  

Object #329   x,y = (3371, 2902)   RA, Dec = (07:22:19.704, 07:24:56.16) = (110.58210, 7.41560)   BPZ = 1.175 [0.526--8.018]   type = 6.00 (Sbc_B10)   stellarity = 0.63   chisq2 = 0.27   ODDS = 0.08   z_cluster = 0.677