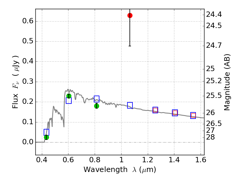
PLCKG209+10 IR detection object #31

Color images and BPZ results
Catalog: 31.cat
Black segments are analyzed here.   Roll mouse over color images to view segments.
Best viewed in a wide browser window (1200 pixels or more).   Download SED & P(z) plots to view larger versions.
In P(z) plots: Yellow lines mark the cluster redshift z = 0.677,  

Object #31   x,y = (2413, 3910)   RA, Dec = (07:22:23.568, 07:25:56.64) = (110.59820, 7.43240)   BPZ = 3.675 [3.592--3.798]   type = 11.00 (SB11_A_0_l)   stellarity = 0.95   chisq2 = 15.43   ODDS = 1.00   z_cluster = 0.677