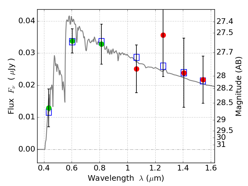
PLCKG209+10 IR detection object #123

Color images and BPZ results
Catalog: 123.cat
Black segments are analyzed here.   Roll mouse over color images to view segments.
Best viewed in a wide browser window (1200 pixels or more).   Download SED & P(z) plots to view larger versions.
In P(z) plots: Yellow lines mark the cluster redshift z = 0.677,  

Object #123   x,y = (2777, 3447)   RA, Dec = (07:22:22.080, 07:25:28.92) = (110.59200, 7.42470)   BPZ = 3.545 [0.233--3.825]   type = 10.80 (SB11_A_0_l - SB3_B10)   stellarity = 0.51   chisq2 = 0.20   ODDS = 0.48   z_cluster = 0.677