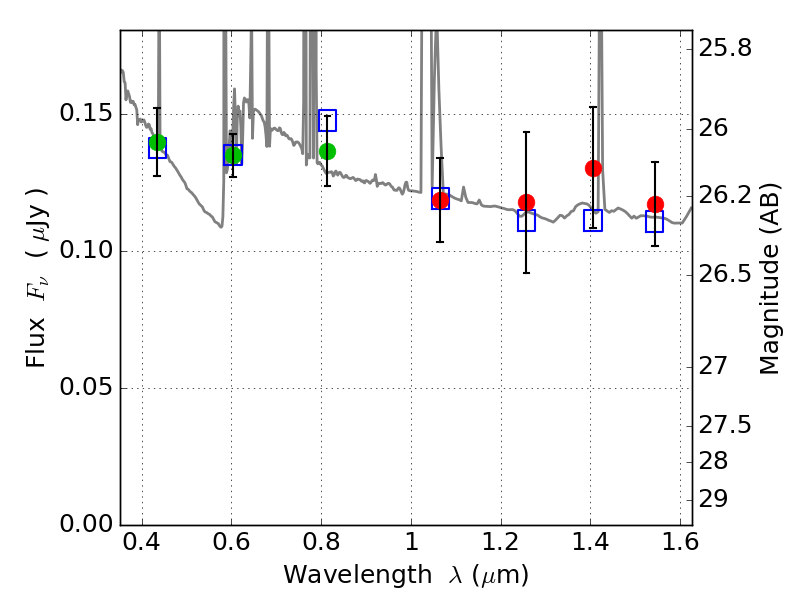
PLCKG209+10 IR detection object #1181

Color images and BPZ results
Catalog: 1181.cat
Black segments are analyzed here.   Roll mouse over color images to view segments.
Best viewed in a wide browser window (1200 pixels or more).   Download SED & P(z) plots to view larger versions.
In P(z) plots: Yellow lines mark the cluster redshift z = 0.677,  

Object #1181   x,y = (3000, 1645)   RA, Dec = (07:22:21.192, 07:23:40.56) = (110.58830, 7.39460)   BPZ = 0.567 [0.531--2.743]   type = 10.90 (SB11_A_0_l - SB3_B10)   stellarity = 0.59   chisq2 = 0.33   ODDS = 0.15   z_cluster = 0.677