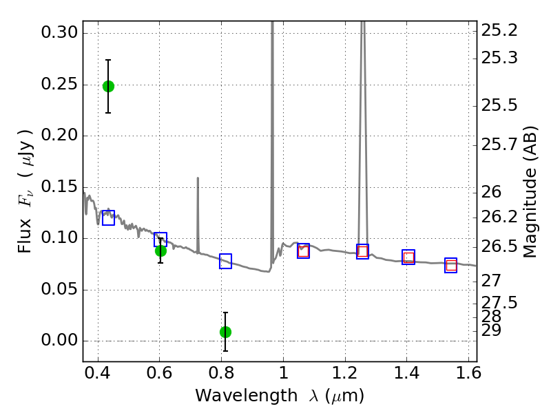
PLCKG209+10 ACS+IR detection object #771

Color images and BPZ results
Catalog: 771.cat
Black segments are analyzed here.   Roll mouse over color images to view segments.
Best viewed in a wide browser window (1200 pixels or more).   Download SED & P(z) plots to view larger versions.
In P(z) plots: Yellow lines mark the cluster redshift z = 0.677,  

Object #771   x,y = (4141, 3753)   RA, Dec = (07:22:16.584, 07:25:47.28) = (110.56910, 7.42980)   BPZ = 1.593 [1.274--2.311]   type = 11.00 (SB11_A_0_l)   chisq2 = 34.02   ODDS = 0.27   z_cluster = 0.677