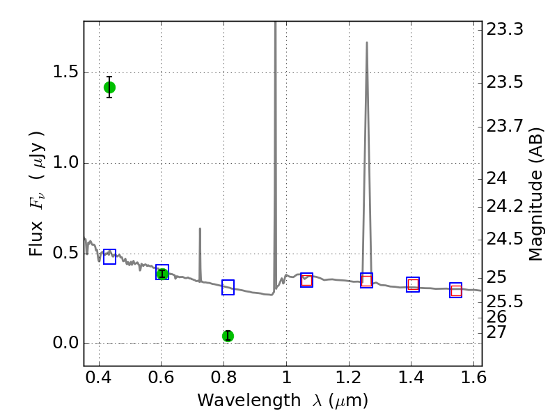
PLCKG209+10 ACS+IR detection object #5397

Color images and BPZ results
Catalog: 5397.cat
Black segments are analyzed here.   Roll mouse over color images to view segments.
Best viewed in a wide browser window (1200 pixels or more).   Download SED & P(z) plots to view larger versions.
In P(z) plots: Yellow lines mark the cluster redshift z = 0.677,  

Object #5397   x,y = (4376, 998)   RA, Dec = (07:22:15.648, 07:23:02.04) = (110.56520, 7.38390)   BPZ = 1.593 [1.496--1.984]   type = 11.00 (SB11_A_0_l)   chisq2 = 250.40   ODDS = 0.80   z_cluster = 0.677