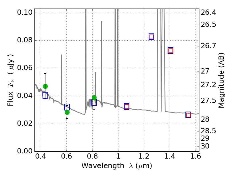
PLCKG209+10 ACS+IR detection object #5245

Color images and BPZ results
Catalog: 5245.cat
Black segments are analyzed here.   Roll mouse over color images to view segments.
Best viewed in a wide browser window (1200 pixels or more).   Download SED & P(z) plots to view larger versions.
In P(z) plots: Yellow lines mark the cluster redshift z = 0.677,  

Object #5245   x,y = (1572, 1007)   RA, Dec = (07:22:26.952, 07:23:02.40) = (110.61230, 7.38400)   BPZ = 1.008 [0.435--2.595]   type = 11.00 (SB11_A_0_l)   chisq2 = 0.74   ODDS = 0.12   z_cluster = 0.677