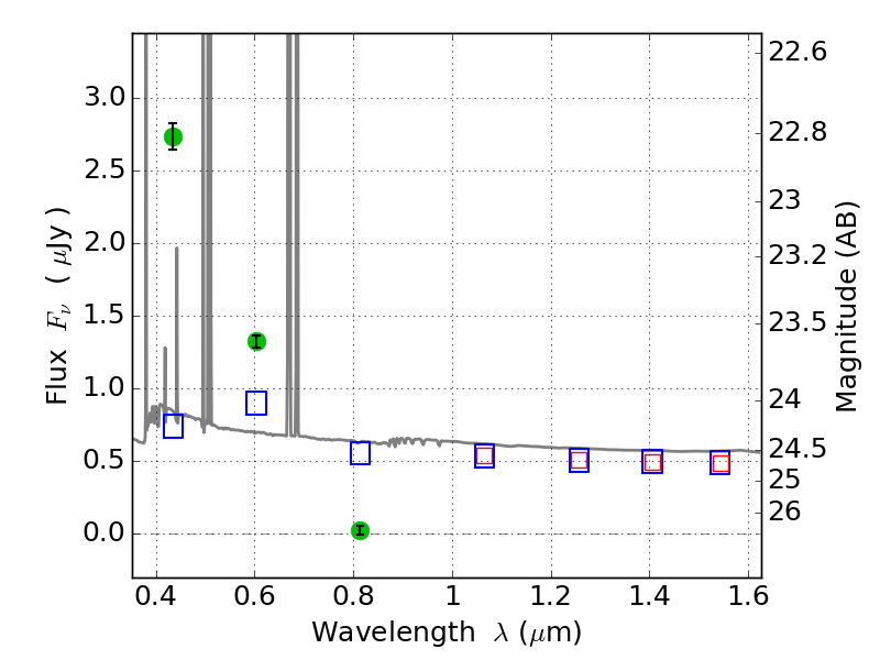
PLCKG209+10 ACS+IR detection object #4576

Color images and BPZ results
Catalog: 4576.cat
Black segments are analyzed here.   Roll mouse over color images to view segments.
Best viewed in a wide browser window (1200 pixels or more).   Download SED & P(z) plots to view larger versions.
In P(z) plots: Yellow lines mark the cluster redshift z = 0.677,  

Object #4576   x,y = (4328, 1354)   RA, Dec = (07:22:15.840, 07:23:23.28) = (110.56600, 7.38980)   BPZ = 0.019 [0.010--0.032]   type = 11.00 (SB11_A_0_l)   chisq2 = 429.90   ODDS = 1.00   z_cluster = 0.677