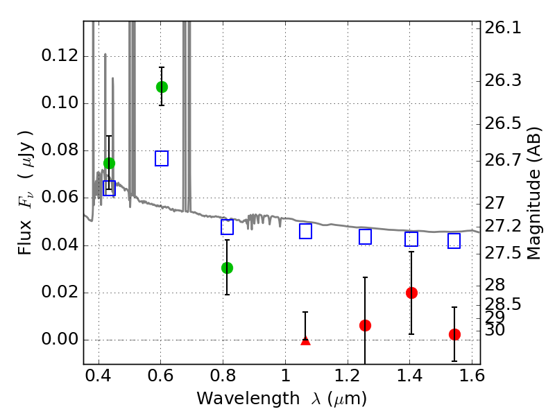
PLCKG209+10 ACS+IR detection object #4553

Color images and BPZ results
Catalog: 4553.cat
Black segments are analyzed here.   Roll mouse over color images to view segments.
Best viewed in a wide browser window (1200 pixels or more).   Download SED & P(z) plots to view larger versions.
In P(z) plots: Yellow lines mark the cluster redshift z = 0.677,  

Object #4553   x,y = (2502, 1376)   RA, Dec = (07:22:23.208, 07:23:24.36) = (110.59670, 7.39010)   BPZ = 0.027 [0.011--0.062]   type = 11.00 (SB11_A_0_l)   chisq2 = 10.05   ODDS = 0.98   z_cluster = 0.677