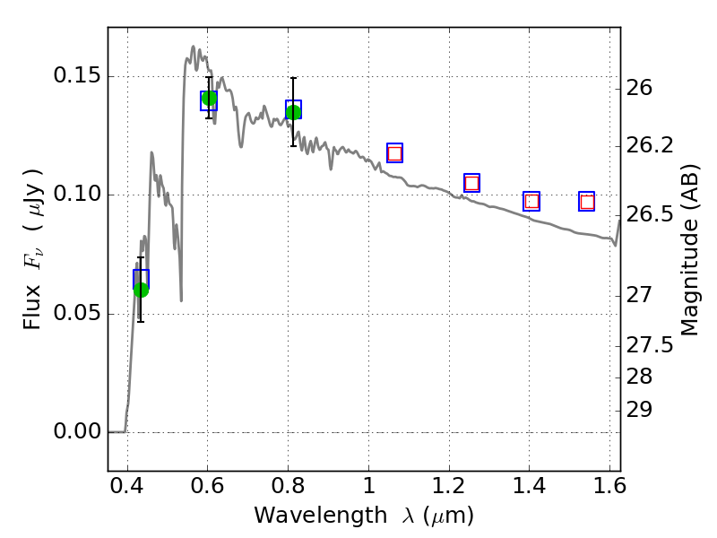
PLCKG209+10 ACS+IR detection object #4415

Color images and BPZ results
Catalog: 4415.cat
Black segments are analyzed here.   Roll mouse over color images to view segments.
Best viewed in a wide browser window (1200 pixels or more).   Download SED & P(z) plots to view larger versions.
In P(z) plots: Yellow lines mark the cluster redshift z = 0.677,  

Object #4415   x,y = (1640, 1475)   RA, Dec = (07:22:26.688, 07:23:30.48) = (110.61120, 7.39180)   BPZ = 3.414 [0.264--3.592]   type = 10.60 (SB11_A_0_l - SB3_B10)   chisq2 = 0.08   ODDS = 0.44   z_cluster = 0.677