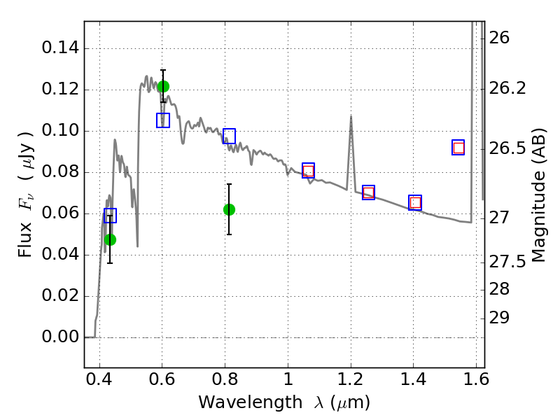
PLCKG209+10 ACS+IR detection object #4225

Color images and BPZ results
Catalog: 4225.cat
Black segments are analyzed here.   Roll mouse over color images to view segments.
Best viewed in a wide browser window (1200 pixels or more).   Download SED & P(z) plots to view larger versions.
In P(z) plots: Yellow lines mark the cluster redshift z = 0.677,  

Object #4225   x,y = (3607, 1559)   RA, Dec = (07:22:18.744, 07:23:35.52) = (110.57810, 7.39320)   BPZ = 3.304 [0.345--3.522]   type = 11.00 (SB11_A_0_l)   chisq2 = 9.41   ODDS = 0.64   z_cluster = 0.677