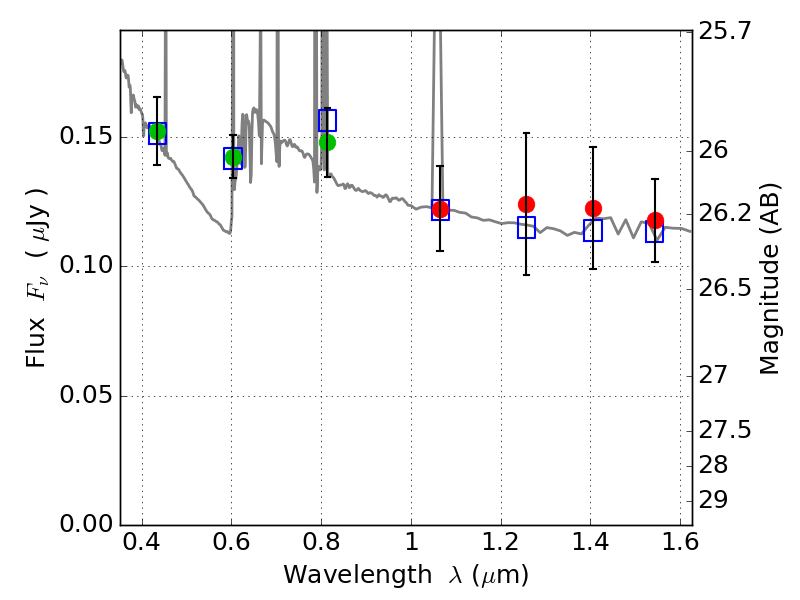
PLCKG209+10 ACS+IR detection object #4094

Color images and BPZ results
Catalog: 4094.cat
Black segments are analyzed here.   Roll mouse over color images to view segments.
Best viewed in a wide browser window (1200 pixels or more).   Download SED & P(z) plots to view larger versions.
In P(z) plots: Yellow lines mark the cluster redshift z = 0.677,  

Object #4094   x,y = (3000, 1645)   RA, Dec = (07:22:21.192, 07:23:40.56) = (110.58830, 7.39460)   BPZ = 0.622 [0.524--2.710]   type = 11.00 (SB11_A_0_l)   chisq2 = 0.13   ODDS = 0.25   z_cluster = 0.677