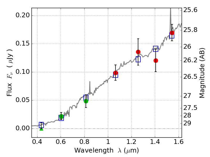
PLCKG209+10 ACS+IR detection object #3982

Color images and BPZ results
Catalog: 3982.cat
Black segments are analyzed here.   Roll mouse over color images to view segments.
Best viewed in a wide browser window (1200 pixels or more).   Download SED & P(z) plots to view larger versions.
In P(z) plots: Yellow lines mark the cluster redshift z = 0.677,  

Object #3982   x,y = (2794, 1759)   RA, Dec = (07:22:22.032, 07:23:47.40) = (110.59180, 7.39650)   BPZ = 0.693 [0.424--1.514]   type = 6.10 (Sbc_B10 - Scd_B10)   chisq2 = 0.38   ODDS = 0.21   z_cluster = 0.677