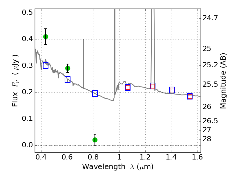
PLCKG209+10 ACS+IR detection object #3564

Color images and BPZ results
Catalog: 3564.cat
Black segments are analyzed here.   Roll mouse over color images to view segments.
Best viewed in a wide browser window (1200 pixels or more).   Download SED & P(z) plots to view larger versions.
In P(z) plots: Yellow lines mark the cluster redshift z = 0.677,  

Object #3564   x,y = (4288, 2014)   RA, Dec = (07:22:15.984, 07:24:02.88) = (110.56660, 7.40080)   BPZ = 1.594 [1.452--2.120]   type = 11.00 (SB11_A_0_l)   chisq2 = 47.23   ODDS = 0.48   z_cluster = 0.677