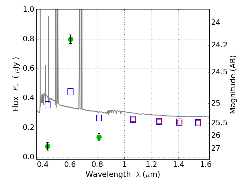
PLCKG209+10 ACS+IR detection object #3497

Color images and BPZ results
Catalog: 3497.cat
Black segments are analyzed here.   Roll mouse over color images to view segments.
Best viewed in a wide browser window (1200 pixels or more).   Download SED & P(z) plots to view larger versions.
In P(z) plots: Yellow lines mark the cluster redshift z = 0.677,  

Object #3497   x,y = (4277, 2051)   RA, Dec = (07:22:16.032, 07:24:05.04) = (110.56680, 7.40140)   BPZ = 0.016 [0.010--0.043]   type = 11.00 (SB11_A_0_l)   chisq2 = 134.60   ODDS = 0.98   z_cluster = 0.677