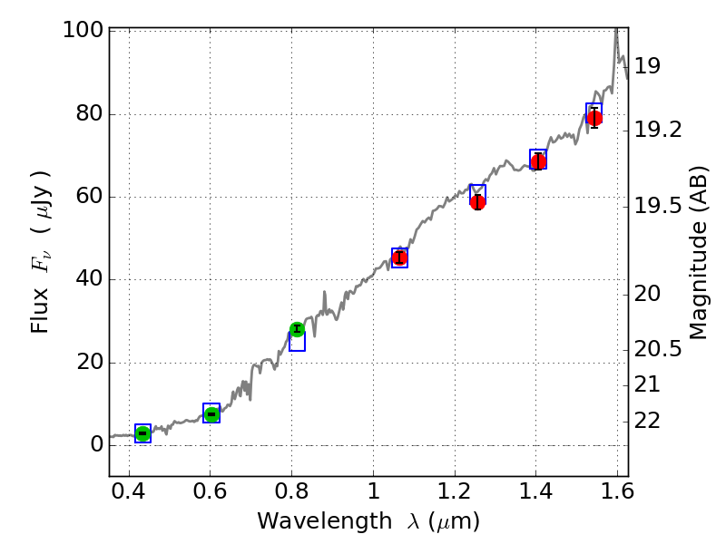
PLCKG209+10 ACS+IR detection object #3478

Color images and BPZ results
Catalog: 3478.cat
Black segments are analyzed here.   Roll mouse over color images to view segments.
Best viewed in a wide browser window (1200 pixels or more).   Download SED & P(z) plots to view larger versions.
In P(z) plots: Yellow lines mark the cluster redshift z = 0.677,  

Object #3478   x,y = (2333, 1971)   RA, Dec = (07:22:23.880, 07:24:00.36) = (110.59950, 7.40010)   BPZ = 0.764 [0.710--0.815]   type = 6.00 (Sbc_B10)   chisq2 = 0.12   ODDS = 0.99   z_cluster = 0.677