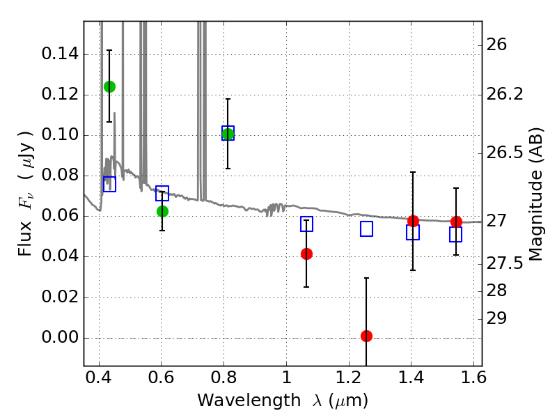
PLCKG209+10 ACS+IR detection object #3327

Color images and BPZ results
Catalog: 3327.cat
Black segments are analyzed here.   Roll mouse over color images to view segments.
Best viewed in a wide browser window (1200 pixels or more).   Download SED & P(z) plots to view larger versions.
In P(z) plots: Yellow lines mark the cluster redshift z = 0.677,  

Object #3327   x,y = (2508, 2159)   RA, Dec = (07:22:23.184, 07:24:11.52) = (110.59660, 7.40320)   BPZ = 0.101 [0.094--2.673]   type = 11.00 (SB11_A_0_l)   chisq2 = 2.77   ODDS = 0.10   z_cluster = 0.677