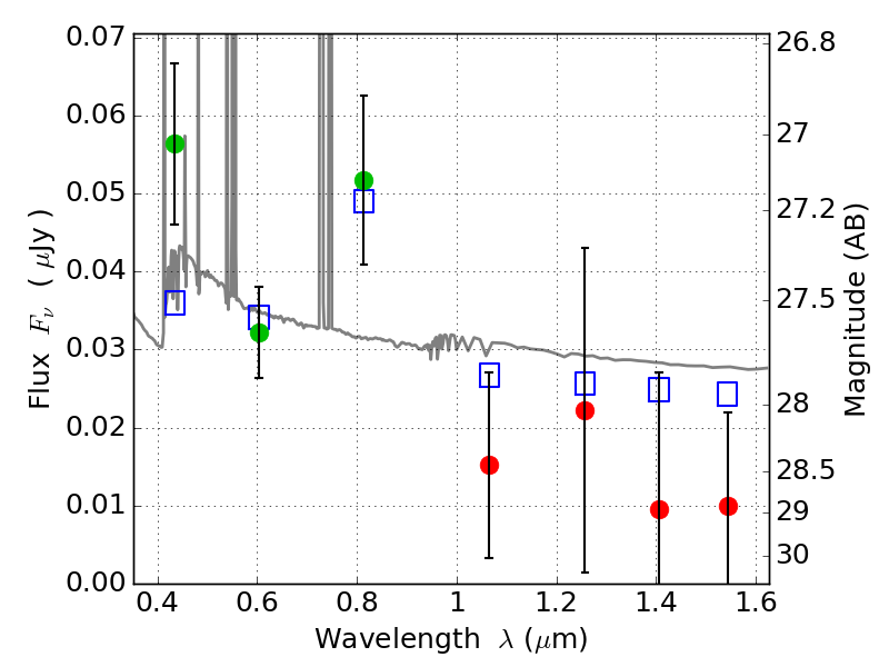
PLCKG209+10 ACS+IR detection object #3318

Color images and BPZ results
Catalog: 3318.cat
Black segments are analyzed here.   Roll mouse over color images to view segments.
Best viewed in a wide browser window (1200 pixels or more).   Download SED & P(z) plots to view larger versions.
In P(z) plots: Yellow lines mark the cluster redshift z = 0.677,  

Object #3318   x,y = (1552, 2162)   RA, Dec = (07:22:27.024, 07:24:11.88) = (110.61260, 7.40330)   BPZ = 0.111 [0.083--2.776]   type = 11.00 (SB11_A_0_l)   chisq2 = 1.67   ODDS = 0.18   z_cluster = 0.677