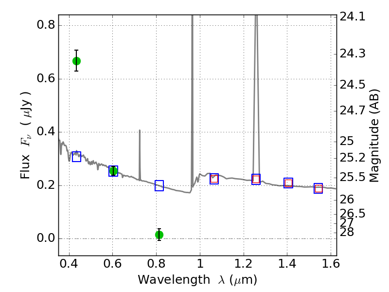
PLCKG209+10 ACS+IR detection object #2630

Color images and BPZ results
Catalog: 2630.cat
Black segments are analyzed here.   Roll mouse over color images to view segments.
Best viewed in a wide browser window (1200 pixels or more).   Download SED & P(z) plots to view larger versions.
In P(z) plots: Yellow lines mark the cluster redshift z = 0.677,  

Object #2630   x,y = (741, 2574)   RA, Dec = (07:22:30.312, 07:24:36.36) = (110.62630, 7.41010)   BPZ = 1.593 [1.449--2.101]   type = 11.00 (SB11_A_0_l)   chisq2 = 104.50   ODDS = 0.56   z_cluster = 0.677