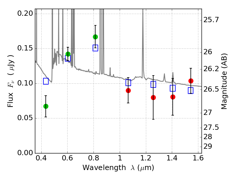
PLCKG209+10 ACS+IR detection object #2421

Color images and BPZ results
Catalog: 2421.cat
Black segments are analyzed here.   Roll mouse over color images to view segments.
Best viewed in a wide browser window (1200 pixels or more).   Download SED & P(z) plots to view larger versions.
In P(z) plots: Yellow lines mark the cluster redshift z = 0.677,  

Object #2421   x,y = (2123, 2694)   RA, Dec = (07:22:24.720, 07:24:43.56) = (110.60300, 7.41210)   BPZ = 0.303 [0.239--3.589]   type = 10.90 (SB11_A_0_l - SB3_B10)   chisq2 = 1.51   ODDS = 0.23   z_cluster = 0.677