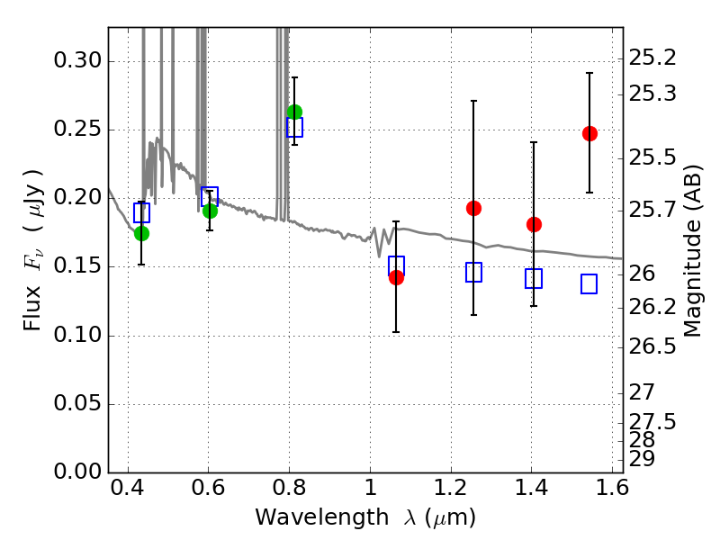
PLCKG209+10 ACS+IR detection object #2322

Color images and BPZ results
Catalog: 2322.cat
Black segments are analyzed here.   Roll mouse over color images to view segments.
Best viewed in a wide browser window (1200 pixels or more).   Download SED & P(z) plots to view larger versions.
In P(z) plots: Yellow lines mark the cluster redshift z = 0.677,  

Object #2322   x,y = (3432, 2747)   RA, Dec = (07:22:19.440, 07:24:46.80) = (110.58100, 7.41300)   BPZ = 0.176 [0.096--2.978]   type = 11.00 (SB11_A_0_l)   chisq2 = 1.74   ODDS = 0.20   z_cluster = 0.677