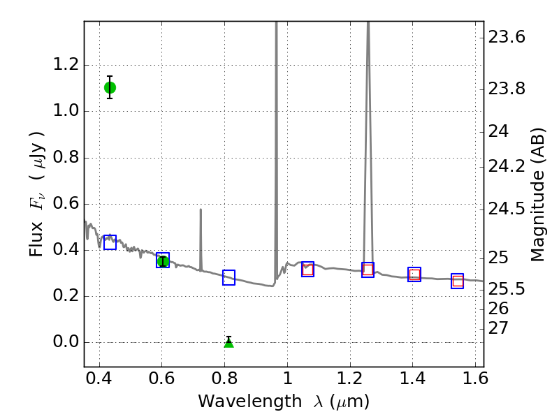
PLCKG209+10 ACS+IR detection object #1809

Color images and BPZ results
Catalog: 1809.cat
Black segments are analyzed here.   Roll mouse over color images to view segments.
Best viewed in a wide browser window (1200 pixels or more).   Download SED & P(z) plots to view larger versions.
In P(z) plots: Yellow lines mark the cluster redshift z = 0.677,  

Object #1809   x,y = (4182, 3093)   RA, Dec = (07:22:16.416, 07:25:07.68) = (110.56840, 7.41880)   BPZ = 1.593 [1.484--1.997]   type = 11.00 (SB11_A_0_l)   chisq2 = 196.40   ODDS = 0.77   z_cluster = 0.677