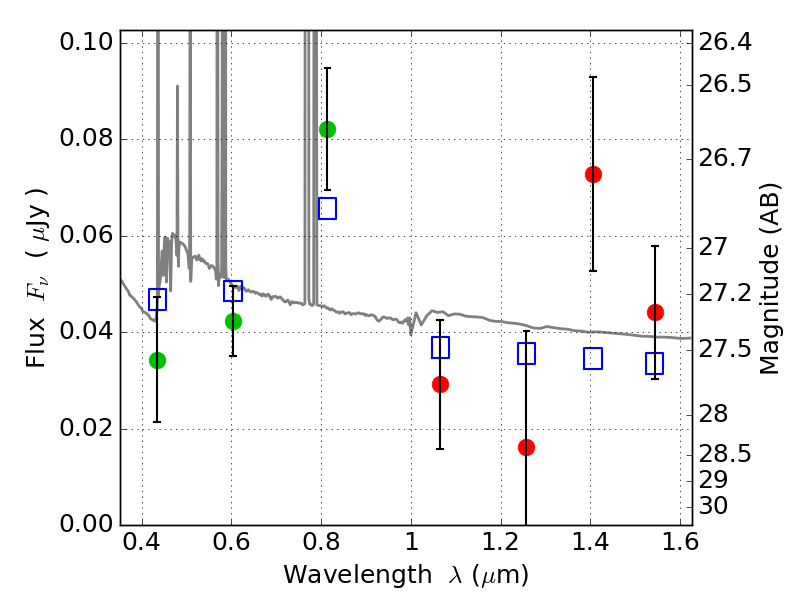
PLCKG209+10 ACS+IR detection object #1709

Color images and BPZ results
Catalog: 1709.cat
Black segments are analyzed here.   Roll mouse over color images to view segments.
Best viewed in a wide browser window (1200 pixels or more).   Download SED & P(z) plots to view larger versions.
In P(z) plots: Yellow lines mark the cluster redshift z = 0.677,  

Object #1709   x,y = (2419, 3145)   RA, Dec = (07:22:23.544, 07:25:10.56) = (110.59810, 7.41960)   BPZ = 0.174 [0.102--3.646]   type = 11.00 (SB11_A_0_l)   chisq2 = 1.95   ODDS = 0.18   z_cluster = 0.677