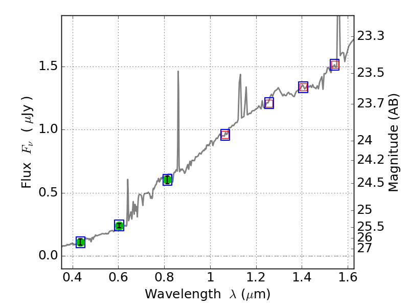
PLCKG209+10 ACS+IR detection object #1000

Color images and BPZ results
Catalog: 1000.cat
Black segments are analyzed here.   Roll mouse over color images to view segments.
Best viewed in a wide browser window (1200 pixels or more).   Download SED & P(z) plots to view larger versions.
In P(z) plots: Yellow lines mark the cluster redshift z = 0.677,  

Object #1000   x,y = (3679, 3601)   RA, Dec = (07:22:18.456, 07:25:37.92) = (110.57690, 7.42720)   BPZ = 0.725 [0.476--1.507]   type = 6.70 (Scd_B10 - Sbc_B10)   chisq2 = 0.00   ODDS = 0.27   z_cluster = 0.677