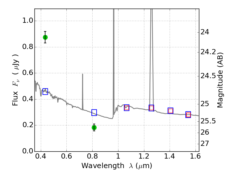
PLCKG209+10 ACS+IR detection object #955

Color images and BPZ results
Catalog: 955.cat
Black segments are analyzed here.   Roll mouse over color images to view segments.
Best viewed in a wide browser window (1200 pixels or more).   Download SED & P(z) plots to view larger versions.
In P(z) plots: Yellow lines mark the cluster redshift z = 0.677,  

Object #955   x,y = (659, 3587)   RA, Dec = (07:22:30.624, 07:25:37.20) = (110.62760, 7.42700)   BPZ = 1.593 [1.462--2.053]   type = 11.00 (SB11_A_0_l)   chisq2 = 74.69   ODDS = 0.67   z_cluster = 0.677