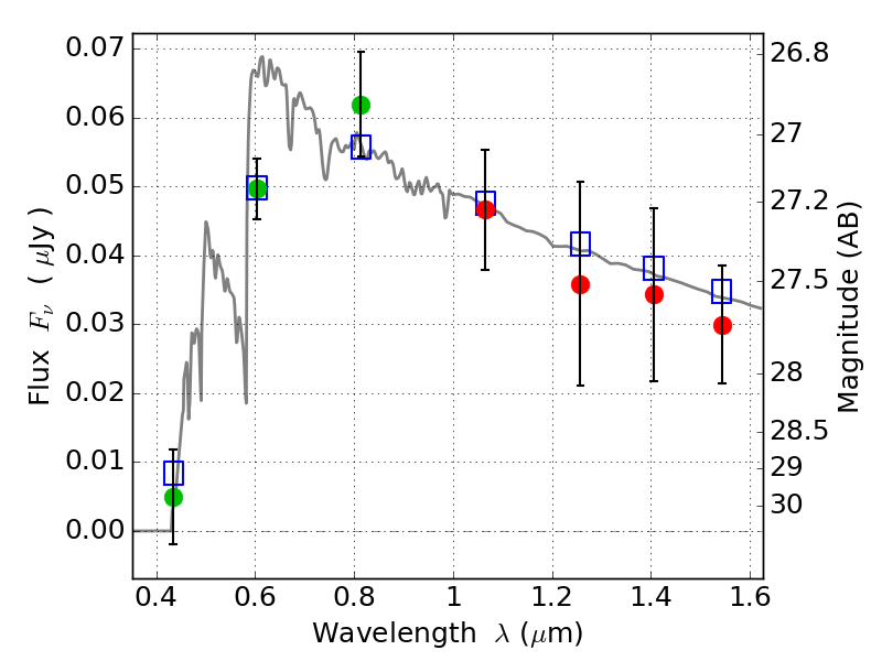
PLCKG209+10 IR detection object #657

Color images and BPZ results
Catalog: 657.cat
Black segments are analyzed here.   Roll mouse over color images to view segments.
Best viewed in a wide browser window (1200 pixels or more).   Download SED & P(z) plots to view larger versions.
In P(z) plots: Yellow lines mark the cluster redshift z = 0.677,  

Object #657   x,y = (3540, 2483)   RA, Dec = (07:22:19.008, 07:24:30.96) = (110.57920, 7.40860)   BPZ = 3.794 [3.537--4.062]   type = 11.00 (SB11_A_0_l)   stellarity = 0.72   chisq2 = 0.31   ODDS = 0.84   z_cluster = 0.677