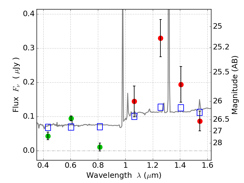
PLCKG209+10 IR detection object #350

Color images and BPZ results
Catalog: 350.cat
Black segments are analyzed here.   Roll mouse over color images to view segments.
Best viewed in a wide browser window (1200 pixels or more).   Download SED & P(z) plots to view larger versions.
In P(z) plots: Yellow lines mark the cluster redshift z = 0.677,  

Object #350   x,y = (3397, 2875)   RA, Dec = (07:22:19.584, 07:24:54.36) = (110.58160, 7.41510)   BPZ = 1.633 [1.507--2.945]   type = 9.80 (SB3_B10 - SB2_B10)   stellarity = 0.01   chisq2 = 10.34   ODDS = 0.59   z_cluster = 0.677