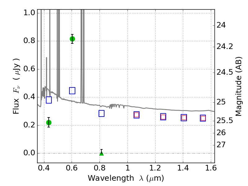
PLCKG209+10 ACS+IR detection object #976

Color images and BPZ results
Catalog: 976.cat
Black segments are analyzed here.   Roll mouse over color images to view segments.
Best viewed in a wide browser window (1200 pixels or more).   Download SED & P(z) plots to view larger versions.
In P(z) plots: Yellow lines mark the cluster redshift z = 0.677,  

Object #976   x,y = (643, 3596)   RA, Dec = (07:22:30.696, 07:25:37.56) = (110.62790, 7.42710)   BPZ = 0.017 [0.010--0.033]   type = 11.00 (SB11_A_0_l)   stellarity = 0.99   chisq2 = 135.65   ODDS = 1.00   z_cluster = 0.677