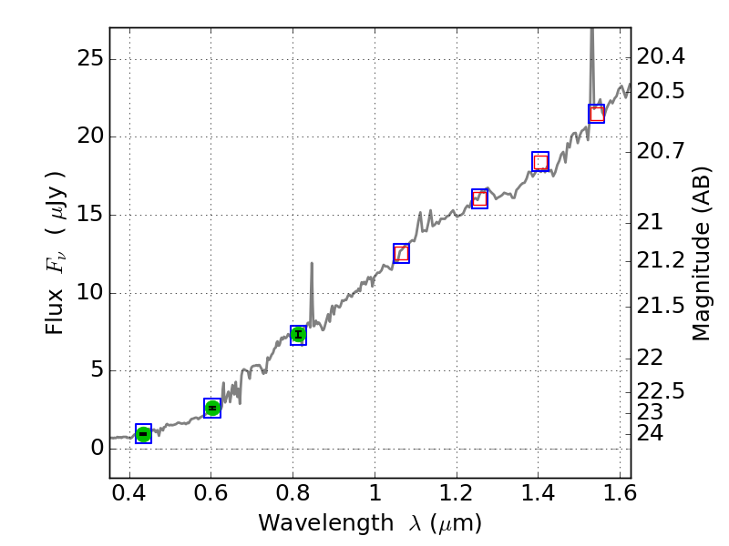
PLCKG209+10 ACS+IR detection object #575

Color images and BPZ results
Catalog: 575.cat
Black segments are analyzed here.   Roll mouse over color images to view segments.
Best viewed in a wide browser window (1200 pixels or more).   Download SED & P(z) plots to view larger versions.
In P(z) plots: Yellow lines mark the cluster redshift z = 0.677,  

Object #575   x,y = (3426, 3811)   RA, Dec = (07:22:19.464, 07:25:50.52) = (110.58110, 7.43070)   BPZ = 0.695 [0.574--0.791]   type = 6.20 (Sbc_B10 - Scd_B10)   stellarity = 0.03   chisq2 = 0.00   ODDS = 0.75   z_cluster = 0.677