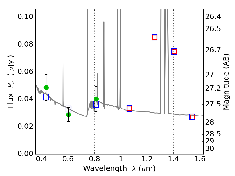
PLCKG209+10 ACS+IR detection object #5514

Color images and BPZ results
Catalog: 5514.cat
Black segments are analyzed here.   Roll mouse over color images to view segments.
Best viewed in a wide browser window (1200 pixels or more).   Download SED & P(z) plots to view larger versions.
In P(z) plots: Yellow lines mark the cluster redshift z = 0.677,  

Object #5514   x,y = (1731, 797)   RA, Dec = (07:22:26.304, 07:22:49.80) = (110.60960, 7.38050)   BPZ = 1.008 [0.438--2.601]   type = 11.00 (SB11_A_0_l)   stellarity = 0.72   chisq2 = 0.82   ODDS = 0.12   z_cluster = 0.677