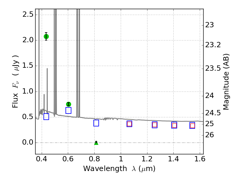
PLCKG209+10 ACS+IR detection object #4387

Color images and BPZ results
Catalog: 4387.cat
Black segments are analyzed here.   Roll mouse over color images to view segments.
Best viewed in a wide browser window (1200 pixels or more).   Download SED & P(z) plots to view larger versions.
In P(z) plots: Yellow lines mark the cluster redshift z = 0.677,  

Object #4387   x,y = (4335, 1401)   RA, Dec = (07:22:15.816, 07:23:26.16) = (110.56590, 7.39060)   BPZ = 0.018 [0.010--0.041]   type = 11.00 (SB11_A_0_l)   stellarity = 1.00   chisq2 = 416.80   ODDS = 0.98   z_cluster = 0.677