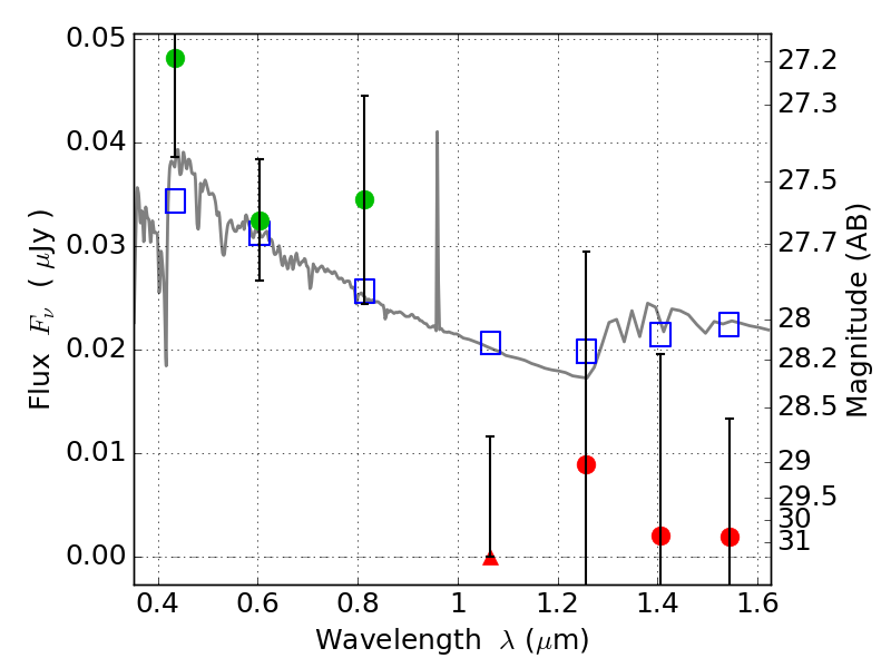
PLCKG209+10 ACS+IR detection object #4275

Color images and BPZ results
Catalog: 4275.cat
Black segments are analyzed here.   Roll mouse over color images to view segments.
Best viewed in a wide browser window (1200 pixels or more).   Download SED & P(z) plots to view larger versions.
In P(z) plots: Yellow lines mark the cluster redshift z = 0.677,  

Object #4275   x,y = (3146, 1529)   RA, Dec = (07:22:20.592, 07:23:33.72) = (110.58580, 7.39270)   BPZ = 2.432 [0.066--2.983]   type = 11.00 (SB11_A_0_l)   stellarity = 0.61   chisq2 = 2.59   ODDS = 0.22   z_cluster = 0.677