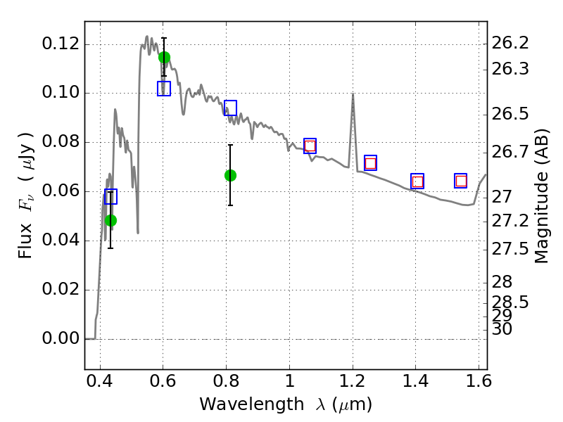
PLCKG209+10 ACS+IR detection object #4205

Color images and BPZ results
Catalog: 4205.cat
Black segments are analyzed here.   Roll mouse over color images to view segments.
Best viewed in a wide browser window (1200 pixels or more).   Download SED & P(z) plots to view larger versions.
In P(z) plots: Yellow lines mark the cluster redshift z = 0.677,  

Object #4205   x,y = (3607, 1559)   RA, Dec = (07:22:18.744, 07:23:35.52) = (110.57810, 7.39320)   BPZ = 3.294 [0.345--3.518]   type = 11.00 (SB11_A_0_l)   stellarity = 0.14   chisq2 = 5.92   ODDS = 0.60   z_cluster = 0.677