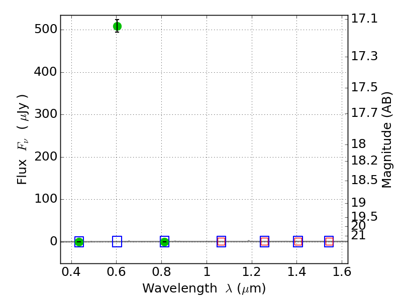
PLCKG209+10 ACS+IR detection object #4040

Color images and BPZ results
Catalog: 4040.cat
Black segments are analyzed here.   Roll mouse over color images to view segments.
Best viewed in a wide browser window (1200 pixels or more).   Download SED & P(z) plots to view larger versions.
In P(z) plots: Yellow lines mark the cluster redshift z = 0.677,  

Object #4040   x,y = (3332, 1401)   RA, Dec = (07:22:19.848, 07:23:26.16) = (110.58270, 7.39060)   BPZ = 0.308 [0.147--3.305]   type = 8.80 (SB2_B10 - SB1_B10)   stellarity = 1.00   chisq2 = 1147.14   ODDS = 0.10   z_cluster = 0.677