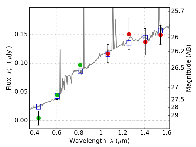
PLCKG209+10 ACS+IR detection object #3786

Color images and BPZ results
Catalog: 3786.cat
Black segments are analyzed here.   Roll mouse over color images to view segments.
Best viewed in a wide browser window (1200 pixels or more).   Download SED & P(z) plots to view larger versions.
In P(z) plots: Yellow lines mark the cluster redshift z = 0.677,  

Object #3786   x,y = (2869, 1796)   RA, Dec = (07:22:21.720, 07:23:49.92) = (110.59050, 7.39720)   BPZ = 0.695 [0.234--4.397]   type = 7.80 (SB1_B10 - Scd_B10)   stellarity = 0.00   chisq2 = 0.61   ODDS = 0.14   z_cluster = 0.677