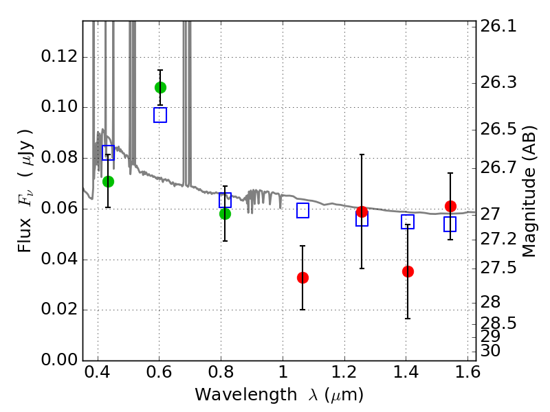
PLCKG209+10 ACS+IR detection object #3624

Color images and BPZ results
Catalog: 3624.cat
Black segments are analyzed here.   Roll mouse over color images to view segments.
Best viewed in a wide browser window (1200 pixels or more).   Download SED & P(z) plots to view larger versions.
In P(z) plots: Yellow lines mark the cluster redshift z = 0.677,  

Object #3624   x,y = (3027, 1916)   RA, Dec = (07:22:21.072, 07:23:57.12) = (110.58780, 7.39920)   BPZ = 0.038 [0.013--3.077]   type = 11.00 (SB11_A_0_l)   stellarity = 0.83   chisq2 = 1.76   ODDS = 0.47   z_cluster = 0.677