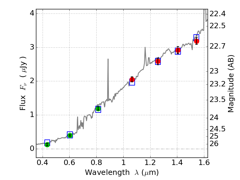
PLCKG209+10 ACS+IR detection object #3240

Color images and BPZ results
Catalog: 3240.cat
Black segments are analyzed here.   Roll mouse over color images to view segments.
Best viewed in a wide browser window (1200 pixels or more).   Download SED & P(z) plots to view larger versions.
In P(z) plots: Yellow lines mark the cluster redshift z = 0.677,  

Object #3240   x,y = (1683, 2198)   RA, Dec = (07:22:26.496, 07:24:14.04) = (110.61040, 7.40390)   BPZ = 0.773 [0.458--0.883]   type = 6.40 (Sbc_B10 - Scd_B10)   stellarity = 0.03   chisq2 = 0.09   ODDS = 0.50   z_cluster = 0.677