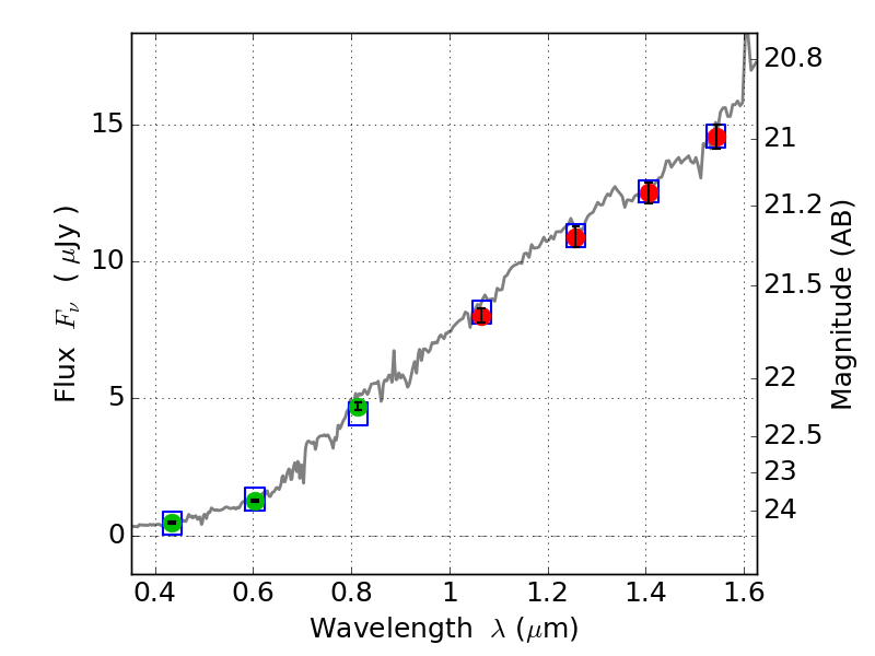
PLCKG209+10 ACS+IR detection object #3168

Color images and BPZ results
Catalog: 3168.cat
Black segments are analyzed here.   Roll mouse over color images to view segments.
Best viewed in a wide browser window (1200 pixels or more).   Download SED & P(z) plots to view larger versions.
In P(z) plots: Yellow lines mark the cluster redshift z = 0.677,  

Object #3168   x,y = (3934, 2176)   RA, Dec = (07:22:17.424, 07:24:12.60) = (110.57260, 7.40350)   BPZ = 0.771 [0.701--0.847]   type = 5.90 (Sbc_B10 - ES0_B10)   stellarity = 0.03   chisq2 = 0.02   ODDS = 0.95   z_cluster = 0.677