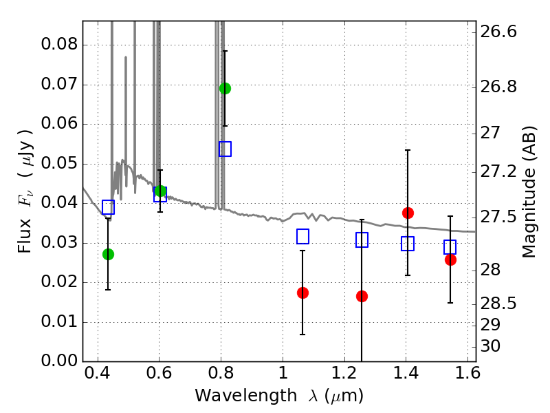
PLCKG209+10 ACS+IR detection object #3071

Color images and BPZ results
Catalog: 3071.cat
Black segments are analyzed here.   Roll mouse over color images to view segments.
Best viewed in a wide browser window (1200 pixels or more).   Download SED & P(z) plots to view larger versions.
In P(z) plots: Yellow lines mark the cluster redshift z = 0.677,  

Object #3071   x,y = (2268, 2241)   RA, Dec = (07:22:24.144, 07:24:16.56) = (110.60060, 7.40460)   BPZ = 0.201 [0.097--3.474]   type = 11.00 (SB11_A_0_l)   stellarity = 0.01   chisq2 = 1.55   ODDS = 0.37   z_cluster = 0.677