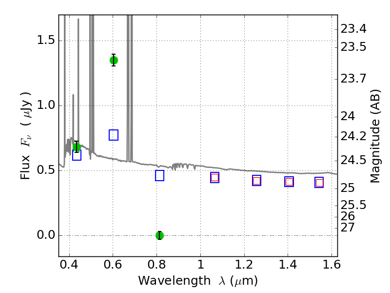
PLCKG209+10 ACS+IR detection object #282

Color images and BPZ results
Catalog: 282.cat
Black segments are analyzed here.   Roll mouse over color images to view segments.
Best viewed in a wide browser window (1200 pixels or more).   Download SED & P(z) plots to view larger versions.
In P(z) plots: Yellow lines mark the cluster redshift z = 0.677,  

Object #282   x,y = (4109, 3970)   RA, Dec = (07:22:16.728, 07:26:00.24) = (110.56970, 7.43340)   BPZ = 0.016 [0.010--0.031]   type = 11.00 (SB11_A_0_l)   stellarity = 0.95   chisq2 = 131.99   ODDS = 1.00   z_cluster = 0.677