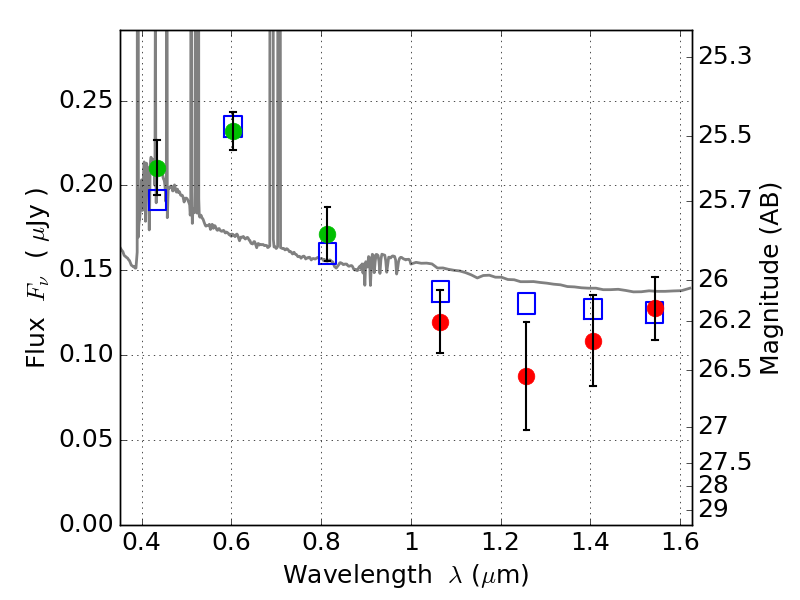
PLCKG209+10 ACS+IR detection object #2793

Color images and BPZ results
Catalog: 2793.cat
Black segments are analyzed here.   Roll mouse over color images to view segments.
Best viewed in a wide browser window (1200 pixels or more).   Download SED & P(z) plots to view larger versions.
In P(z) plots: Yellow lines mark the cluster redshift z = 0.677,  

Object #2793   x,y = (3119, 2425)   RA, Dec = (07:22:20.712, 07:24:27.36) = (110.58630, 7.40760)   BPZ = 0.049 [0.019--2.856]   type = 11.00 (SB11_A_0_l)   stellarity = 0.98   chisq2 = 0.84   ODDS = 0.44   z_cluster = 0.677