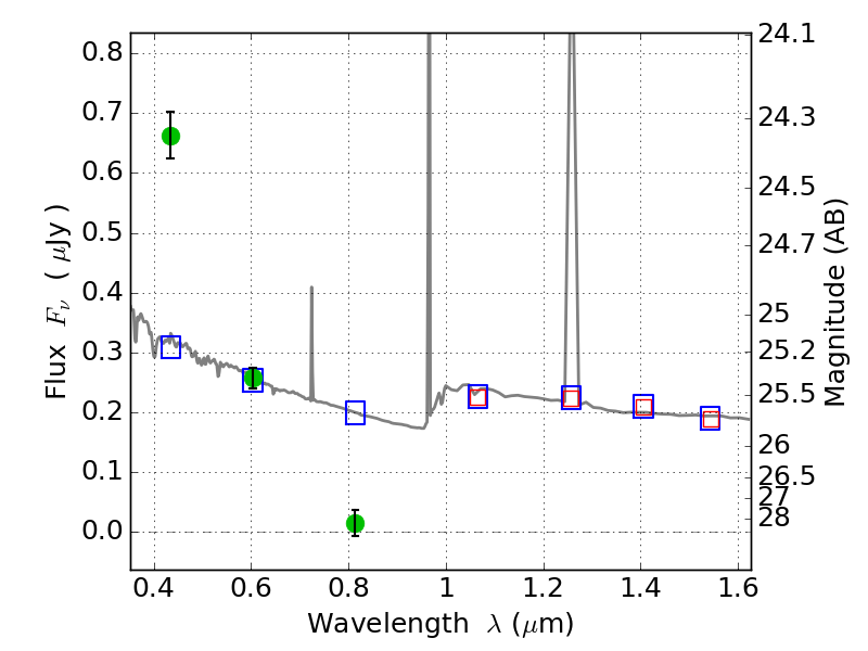
PLCKG209+10 ACS+IR detection object #2548

Color images and BPZ results
Catalog: 2548.cat
Black segments are analyzed here.   Roll mouse over color images to view segments.
Best viewed in a wide browser window (1200 pixels or more).   Download SED & P(z) plots to view larger versions.
In P(z) plots: Yellow lines mark the cluster redshift z = 0.677,  

Object #2548   x,y = (741, 2574)   RA, Dec = (07:22:30.312, 07:24:36.36) = (110.62630, 7.41010)   BPZ = 1.593 [1.450--2.100]   type = 11.00 (SB11_A_0_l)   stellarity = 0.99   chisq2 = 102.85   ODDS = 0.56   z_cluster = 0.677